이번 포스트에서는 단백질의 3차구조(tertiary structure), 그 중에서도 fibrous protein들에 대해 알아보자.
우선 3차구조는 2차구조에서보다 더 멀리 있는 amino acid에 의해 만들어짐.
대부분의 경우 side chain 사이의 weak한 interaction에 의해 생성되나 disulfide bond를 비롯한 다른 공유결합에 의해 안정화되는 경우도 있음.
fibrous protein은 실 같은 구조임.

위 표에는 몇몇 fibrous protein의 예가 나타나 있음. 특히 collagen 등의 경우 left handed α helix의 비율이 많음. (fibrous protein의 종류에 따라 구성하는 secondary structure가 다 다르다는 정도만 알고 있으면 됨)
전반적으로 fibrous protein은 구조를 지탱하거나 혹은 머리카락등의 섬유를 구성하는데 많이 사용됨.

위 그림은 머리카락의 구성요소인 α keratin의 구조를 나타내주고 있음. 보면 α helix가 두 개 모여 서로 꼬여서 two-chain coiled coil을 만들고, 이후 이것들이 모여 protofilament를 만들며, 이후 protofibril, intermediate filament, cell의 위계로 머리카락이 구성되어 있음을 알 수 있음.

앞서 말했듯 α keratin은 coiled coil로 구성되어 있음. (물론 중간에 간혹가다가 random coil이 존재하기도 함) 이 때 흥미롭게도 α keratin 중간중간에는 cysteine residue들이 엄청 많고, 이들 간의 disulfide bond에 의해 coiled coil 구조가 안정하게 유지되고 있음.
이 disulfide bond를 끊었다가 다시 붙여주는 방법을 이용한 것이 바로 파마(permanent waving)임.

위 그림과 같이 우선 reducing agent를 이용할 시 disulfide bond가 끊어짐. (이 agent가 바로 파마약 냄새의 원인임) 이후 heat을 가해주게 되면 (S-S도 풀리고 다른 interaction들도 weak해진 결과) curl이 일어남. 이후 다시 oxidizing agent를 써서 그 상태에서 disulfide bond의 재형성을 촉진하면 파마가 완료됨.
다음으로 connective tissue(tendon, cartilage, bones, cornea)의 주요 구성요소인 collagen에 대해 알아보자.

collagen의 경우 아주 흥미롭게도 left-handed α-helix로 구성되어 있음. 이들은 위 그림에서도 나타나 있는 것처럼 3개의 left-handed α-helix가 right-handed로 superhelical하게 꼬여서 triple helix를 구성한 채로 존재하고 있고 결과적으로 상당히 tight하고 compact한 구조를 가지고 있음.
흥미롭게도 이 녀석의 경우 3개의 amino acid residue들이 turn마다 반복적으로 나타나는데(tripeptide repeat), 보통 Gly, Pro, 4-Hyp(hydroxyproline)이 반복 단위인 경우가 많음. 참고로 이 때 hydroxyproline은 proline이 post-translational modification(PTM)을 통해서 변형되어 만들어진 형태임. 보면 이 경우 Gly, Pro와 같은 녀석이 많이 함유되어 있으므로 상당히 compact함.
실제로 collagen 전체 중에서 35% 정도의 amino acid가 Gly, 11%가 Ala, 21%가 Pro, Hyp임.
triple helix 구조는 같은 cross section의 steel wire보다도 tensile strength가 더 클 정도로 매우 튼튼함.

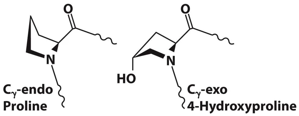
위 그림에는 Proline과 4-hydroxyproline의 구조가 나타나 있음. Proline의 경우 5개짜리 ring structure가 들어가며 형성되는 접히는 구조, 즉 sugar puckering 구조가 관찰되는데, 여기에 hydroxyl기가 들어가면서 puckering 구조가 달라지고 그 결과 hydrogen bonding을 더 잘 할 수 있게 되어서 더 tight한 turn에 적합해짐. 참고로 Proline을 4-hydroxyproline으로 바꿔주는 반응에 중요한 효소가 prolyl hydroxylase임.
한편 prolyl hydroxylase의 활성에 ascorbate(vitamin C)가 상당히 중요하게 작동함.

읻단 위 그림 (a)와 같이 prolyl 4-hydroxylase는 위 그림과 같이 Pro와 α-ketoglutarate를 기질로 받아서 4-Hyp와 Succinate를 생성물로 내놓게 됨. 이 과정에서 prolyl 4-hydroxylase 내부에서 cofactor로 중요하게 작동하는 것이 바로 Fe2+임.
그런데 prolyl 4-hydroxylase는 이상하게도 가끔 그냥 α-ketoglutarate를 succinate로 바꿔주는 반응도 촉진함. 그런데 이 반응이 일어나게 되면 prolyl 4-hydroxylase 내부의 cofactor가 oxidize되어서 Fe3+가 형성되게 되어버림. 이 경우 prolyl 4-hydroxylase가 더이상 기능을 하지 못함.
이 때 prolyl 4-hydroxylase의 cofactor인 Fe2+가 oxidize되지 못하게 방지해주는 녀석이 바로 vitamin C임. (b 참고)
따라서 vitamin C가 부족한 괴혈병 환자들의 여러 증상 중 하나가 바로 prolyl 4-hydroxylase의 inactivation에 의한 collagen 합성의 부재임.

한편 collagen은 위와 같이 각각의 collagen triple-helices들이 합쳐져 superstructure를 형성하며 collagen fibril을 이루게 됨. (사실 이 assemble 과정 또한 일종의 PTM으로 볼 수도 있음)
이 때 각각의 collagen triple-helix들의 crosslink에는 Lys(끝에 NH2를 가지고 있는데 이는 비교적 reactive), 혹은 Lys가 PTM되어서 만들어진 HyLys(5-hydroxylysine) 등끼리, 혹은 His 등이 서로 뭉치는 것이 상당히 중요하게 작용함.
지금까지는 α helix가 fibrous protein을 구성하는 예들을 살펴봤는데, β sheet가 fibrous protein을 구성하는데 핵심적인 역할을 할 수도 있음. 대표적인 예가 silk fibroin임.

silk fibroin은 moth로부터 추출된 silk, 혹은 거미줄 등의 주원료임. 이 녀석은 위와 같이 antparallel \beta-sheet structure를 가지고 있으며 상당히 tight하게 packing되어 있음.
이 구조는 sheet 내부의 hydrogen bonding, 그리고 sheet간의 London dispersion interaction에 의해 안정화됨. 특히 sheet들이 매우 tight하게 밀집되어 있으므로 atom간의 거리가 가까워져서 London dispersion interaction 또한 상당히 dominant해지게 됨.
이 구조가 이렇게 tight하게 packing되기 위해서 이 녀석들은 매우 작은 side chain을 가진 Ala, Gly(side chain size가 작으므로 쉽게 packing) 등의 amino acid들로 많이 구성되어 있음. (위 그림 오른쪽 참고)
이런 형태의 구조를 가지게 되면 쭉 늘려도 깨지기보다는 stretch할 수 있는 성질을 가지게 됨.
다음 포스트에서는 3차구조의 또 다른 대표적인 예시인 globular protein들에 대해 알아보자.
'전공자를 위한 생물학 > 생화학' 카테고리의 다른 글
| [생화학] 3.4 : 단백질의 3차구조(tertiary structure) - IDP (0) | 2024.11.05 |
|---|---|
| [생화학] 3.4 : 단백질의 3차구조(tertiary structure) - globular protein (0) | 2024.11.05 |
| [생화학] 3.3 : 단백질의 2차구조(secondary structure) - β sheet (0) | 2024.11.05 |
| [생화학] 3.3 : 단백질의 2차구조(secondary structure) - α helix (0) | 2024.11.05 |
| [생화학] 3.2 : 단백질의 1차구조(primary structure) (0) | 2024.11.04 |