본 포스트에서는 분자생물학에서 반복적으로 다루게 되는 gene(유전자)라는 개념의 분자적인 정의와 특성에 대해 알아보도록 하자.
유전자와 관련된 핵심적인 실험 중 하나가 1928년에 Frederick Griffith에 의해 수행됨. (그리피스의 실험)
이 실험에는 Streptococcus pneumoniae가 사용되었으며 이 종에는 avirulent (R) rough colony(capsule을 가지고 있지 않은 세균)와 virulent (S) smooth colony(capsule을 가진 세균)의 두 종류가 있었음. 이 때 S colony의 경우 숙주에 감염시킬 시 매우 치명적이었지만 R colony의 경우 숙주에 감염되어도 큰 영향을 미치지 않았음.

이 때 신기하게도 S colony를 가열한 후 쥐에게 넣어줄 시 쥐가 살아남음. 즉, S colony 내부의 (열에 민감한) 어떤 성분이 쥐의 감염과 증상 발현에 핵심적이라는 것을 짐작 가능함.
한편 가열한 S colony에 살아있는 R colony를 섞어준 후 쥐에 넣어줬더니 쥐가 다시 죽어버림. 이후 죽은 쥐에게서 살아있는 R, S colony가 확인됨. 이 결과로부터 그리피스는 가열된 S colony에서 R colony로 무엇인가가 transformation되었다는 것을 알게 됨.
그렇다면 이 때 전달된 그 무엇의 정체는 도대체 무엇일까. 이 정체가 DNA임을 알기까지 여러 실험들이 수행됨. 이에 대해 지금부터 살펴보자.
우선 DNA의 정체를 알고 이들이 유전물질임을 알아내기 위해 필요한 실험 기법들이 있음.
1. ultracentrifuge (초원심분리)
: 크기에 따라 물질을 구분하는 방법
2. electrophoresis (전기영동)
: 크기와 전하의 비에 따라 물질을 구분하는 방법
3. spectrophotometry (분광광도법)
: UV light를 쬐 준 후 얼마나 흡수하는지 정도를 측정하는 방법
4. elementary chemical analysis
: 특정 화학 원소의 비율을 계산하는 방법.
한편 1944년에 Oswald Avery는 Frederick Griffith가 수행했던 형질전환 실험을 그대로 수행하되, 유기용매 혹은 trypsin를 사용해서 protein을 제거해보거나 ribonuclease를 처리해서 RNA를 분해시켜본 후 형질전환 여부를 확인해보았는데, 이 경우 여전히 형질전환이 일어남. 한편 DNase를 처리한 후 형질전환 여부를 보았더니 형질전환이 일어나지 않음. 이를 통해 형질전환을 통해 전달된 유전물질이 바로 DNA임을 알아냄. (에이버리의 실험)
이 실험 결과가 나오기 전까지만 해도 유전학자들은 고작 4종류의 base로 이루어진 DNA가 genetic material로 작용할 수 있을지에 대해 의구심을 많이 가지고 있었으나 이 실험 결과를 통해 서서히 생각이 바뀌게 됨.
또 1952년에 hershey와 Chase가 수행한 bacteriophage infection 실험을 통해 DNA가 유전물질임이 다시금 확인됨. (허쉬-체이스의 실험)

위 그림과 같이 bacteriophage를 bacteria에 감염시켜 보았음. 이 때 왼쪽의 경우 bacteriophage를 둘러싸고 있는 단백질 성분을 S 동위원소로 표지하였고 오른쪽의 경우 bacteriophage 내부에 있는 DNA를 P 동위원소로 표지한 채 감염시켜 보았음. 그랬더니 결국 최종적으로 bacteria 내부에 남아있는 물질은 P 동위원소로 표지된 DNA라는 것을 확인할 수 있었음.
한편 1953년에 Watson과 Crick은 DNA의 double-helical model을 제안하였고 Chargaff는 4개의 base가 개체마다 각기 다른 양으로 존재한다는 것을 확인함. (왓슨과 크릭의 이중나선모델)
이러한 역사를 통해 DNA가 유전물질의 역할을 수행한다는 사실을 알게 됨.
한편 이런 연구들과는 별개로, 생화학자들은 DNA, RNA와 같은 nucleotide들을 이미 오래전부터 분자적으로 연구하고 있었음. 실제로 1940년대에 생화학자들은 nucleotide의 구성성분들을 밝혀냈음.

DNA는 위 그림 왼쪽에 나와있는 것처럼 A(adenine), C(cytosine), G(guanine), T(thymine)의 4가지 염기로 이루어져 있으며, 이들 염기와 함께 phosphoric acid(인산), deoxyribose sugar가 합쳐져서 nucleotide를 이루게 됨.
반면 RNA는 위 그림 오른쪽에 나와있는 것처럼 A(adenine), C(cytosine), G(guanine), U(uracil)의 4가지 염기로 이루어져 있으며, 이들 염기와 함께 phosphoric acid(인산), ribose sugar 합쳐져서 nucleotide를 이루게 됨.

위 그림은 각각 RNA, DNA를 이루는 일부 구성요소인 nucleoside를 나타내고 있음. (nucleoside는 당+염기로 이루어진 구조이며 nucleotide는 당+염기+인산으로 이루어진 구조임) 보면 ribose의 경우 당의 2', 3' 탄소에 모두 OH가 달려있지만 deoxyribose의 경우 당의 3' 탄소에만 OH가 달려있음.

한편 위 그림과 같이 어떤 염기가 달려있는지, 당의 종류가 무엇인지, phosphate가 몇 개 달려있는지에 따라 명명이 달라지므로 이에 유의할 필요가 있음. (참고로 nucleoside에 붙는 인산기를 명명할 때는 당에 가까운 쪽(즉, 5' 탄소에 가까운 쪽)부터 alpha, beta, gamma 순으로 명명함)
그리고 염기를 다시 purine과 pyrimidine으로 구분하는 방식이 일반적으로 매우 많이 사용됨.

위 그림과 같이 purine에는 adenine, guanine이 포함되며, pyrimidine에는 cytosine, uracil, thymine이 포함됨. (이 때 base끼리의 결합이 A-T or A-U, G-C로만 일어난다는 것을 생각해보자. 이는 결국 DNA의 일정한 폭을 위해 purine, pyrimidine 사이에서만 hydrogen bond에 의한 결합이 일어남을 의미함)

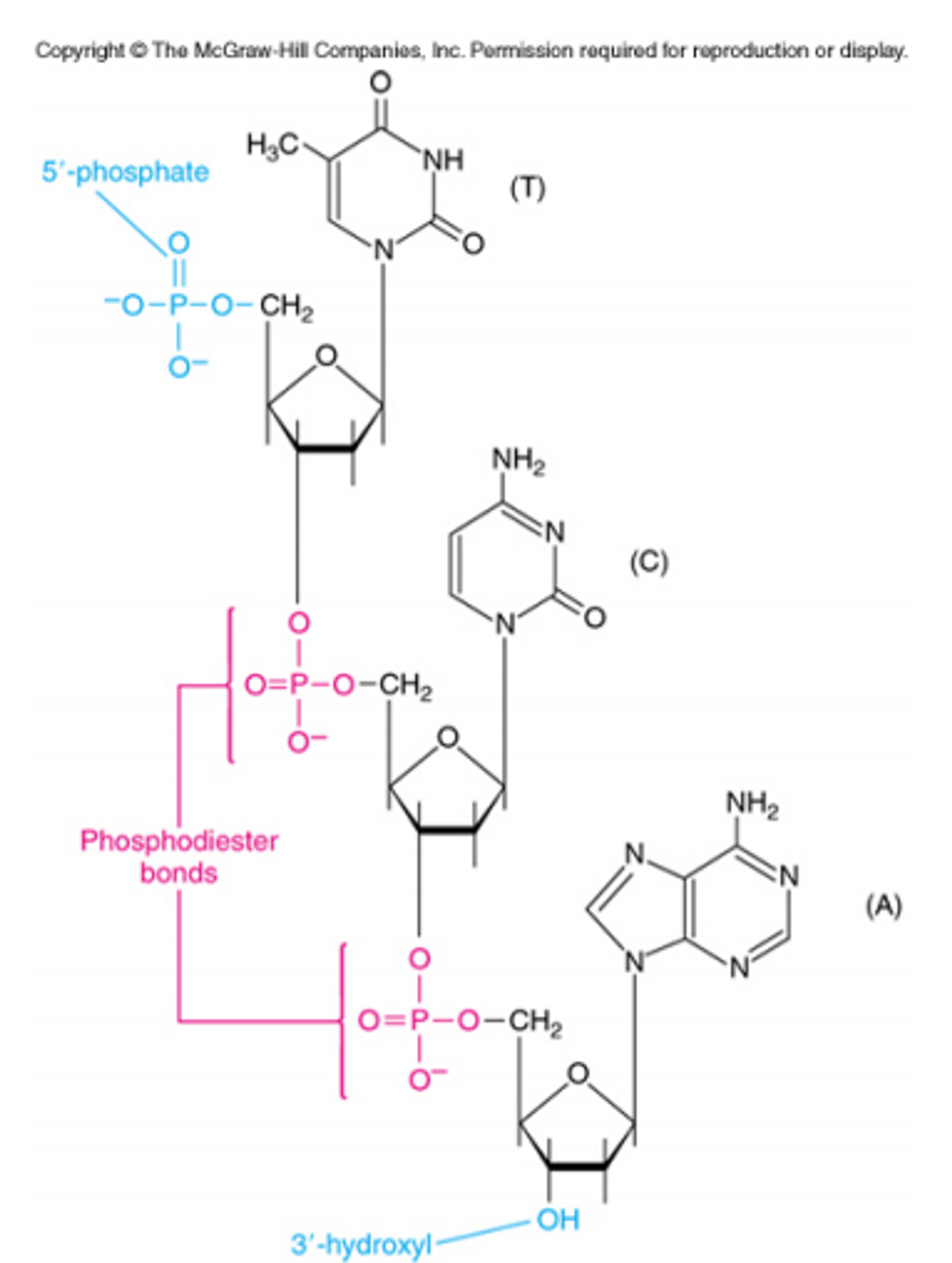
위 그림과 같이 nucleotide 끼리는 phosphodiester bond에 의해 연결됨. 이 때 5' 탄소와 결합한 phosphate 중 맨 끝쪽을 5' end, 3' 탄소와 결합한 OH 중 맨 끝쪽을 3' end라 부르며(따라서 DNA는 5'→3'으로의 방향성을 가지고 있음), 일반적으로 가운데에 위치한 phosphate와 OH 간의 phosphodiester bond에 의해 결합이 형성됨.
다음 포스트에서는 DNA의 구조와 다양성 등에 대해 알아보도록 하자.
'전공자를 위한 생물학 > 분자생물학' 카테고리의 다른 글
| [분자생물학] 4.1 : cloning (클로닝) - vector (벡터) (3) | 2023.06.24 |
|---|---|
| [분자생물학] 4.1 : cloning (클로닝) - restriction enzyme (제한효소) (0) | 2023.06.24 |
| [분자생물학] 3 : 유전자의 기능과 특징 - 저장, 전사, 번역, 복제, 돌연변이 (0) | 2023.06.24 |
| [분자생물학] 2.2 : DNA의 구조, DNA의 특징 (0) | 2023.06.24 |
| [분자생물학] 1.1 : 분자생물학의 기초 (0) | 2022.12.14 |